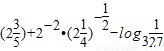
题目内容
求值:
【答案】分析:利用指数和对数的运算性质,把
等价转化为1+
×
-(-3),由此能求出结果.
解答:解:
=1+
×
-(-3)
=1+
+3
=
.
故答案为:
.
点评:本题考查指数和对数的运算性质和运算法则的应用,解题时要认真审题,仔细解答.
解答:解:
=1+
=1+
=
故答案为:
点评:本题考查指数和对数的运算性质和运算法则的应用,解题时要认真审题,仔细解答.
练习册系列答案
相关题目
题目内容
求值: