搜索
题目内容
求函数y=(sinx+cosx)
2
+2cos
2
x的最小正周期.
试题答案
相关练习册答案
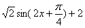
解:y=(sinx+cosx)
2
+2cos
2
x=1+sin2x+2cos
2
x
=sin2x+cos2x+2=
,
所以最小正周期T=π。
练习册系列答案
全真模拟试卷精编系列答案
夺分A计划小学毕业升学总复习系列答案
小学毕业升学总复习金榜小状元系列答案
同步测评卷期末卷系列答案
小学生10分钟口算测试100分系列答案
小学6升7培优模拟试卷系列答案
名校秘题小学霸系列答案
孟建平小学毕业考试卷系列答案
层层递进系列答案
典元教辅冲刺金牌小升初押题卷系列答案
相关题目
求函数y=(sinx+cosx)
2
+2cos
2
x的最小正周期.
求函数
y=
sin2x
1-sinx-cosx
+sin2x
的值域.
求函数
y=co
s
2
x+sinx(|x|≤
π
4
)
的最大值和最小值.
求函数
y=
cosx
+
sinx-
1
2
的定义域.
求函数y=(sinx-2)(cosx-2)的最大值和最小值.
关 闭
试题分类
高中
数学
英语
物理
化学
生物
地理
初中
数学
英语
物理
化学
生物
地理
小学
数学
英语
其他
阅读理解答案
已回答习题
未回答习题
题目汇总
试卷汇总
练习册解析答案