题目内容
已知函数f(x)=mx2+(m-3)x+1的图象与x轴的交点至少有一个在原点右侧,则实数m的取值范围是( )A.[0,1]
B.(0,1)
C.(-∞,1)
D.(-∞,1]
【答案】分析:本题考查的是函数的图象问题.在解答时,应先结合m是否为零对函数是否为二次函数进行区别,对于二次函数情况下充分结合图形的特点利用判别式和对称轴即可获得问题解答.
解答:解:由题意可知:
当m=0时,由f(x)=0 知,-3x+1=0,∴
>0,符合题意;
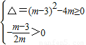
当 m>0时,由f(0)=1可知:
,解得0<m≤1;
当m<0时,由f(0)=1可知,函数图象恒与X轴正半轴有一个交点
综上可知,m的取值范围是:(-∞,1].
故选D.
点评:本题考查的是二次函数的图象问题.在解答的过程当中充分体现了数形结合的思想、函数与方程的思想以及问题提转化的能力.值得同学们体会和反思.
解答:解:由题意可知:
当m=0时,由f(x)=0 知,-3x+1=0,∴
当 m>0时,由f(0)=1可知:
当m<0时,由f(0)=1可知,函数图象恒与X轴正半轴有一个交点
综上可知,m的取值范围是:(-∞,1].
故选D.
点评:本题考查的是二次函数的图象问题.在解答的过程当中充分体现了数形结合的思想、函数与方程的思想以及问题提转化的能力.值得同学们体会和反思.
练习册系列答案
相关题目