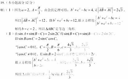
题目内容
在中,内角A, B ,C所对的边分别是a ,b ,c,已知a= 2, A=.
(I 若,试判定的形状;
(II)若,求的面积.
已知函数
(1)求的单调递增区间;
(2)在中,内角A,B,C的对边分别为,已知,成等差数列,且,求边的值.
在中,内角A,B,C的对边分别为且,b=2,求A的值。
在中,内角A,B,C所对的边分别是,已知
(Ⅰ)若||=,试判定的形状;
(Ⅱ)若,求的面积.