搜索
题目内容
已知数列{a
n
}、{b
n
}满足:
,a
n
+b
n
=1,
.
(Ⅰ)求数列{b
n
}的通项公式;
(Ⅱ)若
,求数列{c
n
}的前n项和S
n
.
试题答案
相关练习册答案
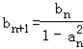
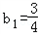
解:(Ⅰ)∵
,
,a
n
+b
n
=1,
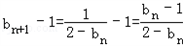
∴
=
,
∴
,
∴
,
∴
,
∴
,
∴
.
(Ⅱ)∵
,
∴
=
=
=
,
∴
+…+
=
.
练习册系列答案
学霸123系列答案
阳光计划系列答案
作业优化系列答案
精练与提高系列答案
30分钟狂练系列答案
赢在课堂名师课时计划系列答案
赢在课堂课时作业系列答案
赢在课堂周测单元期中期末系列答案
天天向上课时同步训练系列答案
单元同步训练测试题系列答案
相关题目
已知数列{a
n
}满足:a
1
<0,
a
n+1
a
n
=
1
2
,则数列{a
n
}是( )
A.递增数列
B.递减数列
C.摆动数列
D.不确定
已知数列{a
n
}满足:a
1
=1,na
n+1
=2(n十1)a
n
+n(n+1),(n∈N
*
),
(I)若
b
n
=
a
n
n
+1
,试证明数列{b
n
}为等比数列;
(II)求数列{a
n
}的通项公式a
n
与前n项和Sn.
(2013•顺义区二模)已知数列{a
n
}中,a
n
=-4n+5,等比数列{b
n
}的公比q满足q=a
n
-a
n-1
(n≥2),且b
1
=a
2
,则|b
1
|+|b
2
|+…+|b
n
|=( )
A.1-4
n
B.4
n
-1
C.
1-
4
n
3
D.
4
n
-1
3
已知数列{a
n
}的前n项和
S
n
=
n
2
+3n+1
,则数列{a
n
}的通项公式为
a
n
=
5
n=1
2n+2
n≥2
a
n
=
5
n=1
2n+2
n≥2
.
已知数列{a
n
}的前n项和S
n
=n
2
+n,那么它的通项公式为a
n
=
2n
2n
.
关 闭
试题分类
高中
数学
英语
物理
化学
生物
地理
初中
数学
英语
物理
化学
生物
地理
小学
数学
英语
其他
阅读理解答案
已回答习题
未回答习题
题目汇总
试卷汇总
练习册解析答案