题目内容


已知A、B为抛物线C:y2 = 4x上的两个动点,点A在第一象限,点B在第四象限l1、l2分别过点A、B且与抛物线C相切,P为l1、l2的交点.

(Ⅰ)若直线AB过抛物线C的焦点F,求证:动点P在一条定直线上,并求此直线方程;

(Ⅱ)设C、D为直线l1、l2与直线x = 4的交点,求面积的最小值.


【解析】(Ⅰ)设).

易知斜率存在,设为,则方程为.

得,  ……………  ①

由直线与抛物线相切,知.

于是,方程为.

同理,方程为.

联立方程可得点坐标为

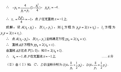
∵  方程为

过抛物线的焦点.

∴  .

∴  .   

),

知,,当且仅当时等号成立.

∴  .

,则.

∴  时,时,.在区间上为减函数;

在区间上为增函数.

∴  时,取最小值.

∴  当

时,面积取最小值.    …………  13分


练习册系列答案
相关题目

违法和不良信息举报电话:027-86699610 举报邮箱:58377363@163.com

精英家教网