题目内容
各项均为正数的数列{an},满足a1=1,(1)求数列{an}的通项公式;
(2)求数列
【答案】分析:(1)由
,可知数列
是首项为1,公差为2的等差数列,利用等差数列的通项可求
,结合已知进而可求an
(2)由(1)
,利用错位相减可求数列的和
解答:解:(1)因为
,
所以数列
是首项为1,公差为2的等差数列.…(2分)
所以
.…(4分)
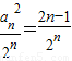
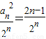
因为an>0,所以
(n∈N*).…(6分)
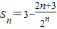
(2)由(1)知,
,所以
.…(7分)
所以
,①…(8分)
则
,②…(9分)
①-②得,
…(11分)
=
=
…(12分)
=
.…(13分)
所以
.…(14分)
点评:本题主要考查等差数列通项公式的应用,错误相减求解数列的和是数列求和的重点和难点,要注意掌握
(2)由(1)
解答:解:(1)因为
所以数列
所以
因为an>0,所以
(2)由(1)知,
所以
则
①-②得,
=
=
所以
点评:本题主要考查等差数列通项公式的应用,错误相减求解数列的和是数列求和的重点和难点,要注意掌握
练习册系列答案
相关题目