题目内容
小波通过做游戏的方式来确定周末活动,他随机地往单位圆内投掷一点,若此点到圆心的距离大于
【答案】分析:根据题意,计算可得圆的面积为π,点到圆心的距离大于
的面积为
,此点到圆心的距离小于
的面积为
,由几何概型求概率即可.
解答:解:圆的面积为π,点到圆心的距离大于
的面积为
,
此点到圆心的距离小于
的面积为
,
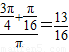
由几何概型得小波周末不在家看书的概率为P=
故答案为:
点评:本题考查几何概型问题,属基础知识的考查.
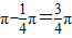
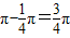
解答:解:圆的面积为π,点到圆心的距离大于
此点到圆心的距离小于
由几何概型得小波周末不在家看书的概率为P=
故答案为:
点评:本题考查几何概型问题,属基础知识的考查.
练习册系列答案
相关题目