题目内容
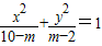
已知双曲线A.
B.
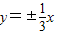
C.y=±3
D.
【答案】分析:通过双曲线的几何性质,直接求出a,b,c,然后求出
,求出双曲线的渐近线方程.
解答:解:双曲线
的实轴在y轴上,
所以a2=m-2,b2=m-10,所以c2=a2+b2=2m-12,
且焦距为8,故有 2m-12=16,∴m=14.
∴a=2
,b=2
所以双曲线的渐近线方程为:y=±
x=±
x.
故选A.
点评:本题是基础题,考查双曲线的基本性质,双曲线的渐近线的求法,考查计算能力.
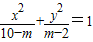
解答:解:双曲线
所以a2=m-2,b2=m-10,所以c2=a2+b2=2m-12,
且焦距为8,故有 2m-12=16,∴m=14.
∴a=2
所以双曲线的渐近线方程为:y=±
故选A.
点评:本题是基础题,考查双曲线的基本性质,双曲线的渐近线的求法,考查计算能力.
练习册系列答案
相关题目