搜索
题目内容
已知
,
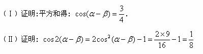
(Ⅰ)求证
;
(2)求证
.
试题答案
相关练习册答案
答案
练习册系列答案
课堂在线系列答案
同步大冲关系列答案
状元桥优质课堂系列答案
启东培优微专题系列答案
初中单元练习与测试系列答案
优质课堂快乐成长系列答案
智慧大考卷系列答案
导学案广东经济出版社系列答案
优佳好书系讲与练系列答案
课课练与单元检测系列答案
相关题目
已知x>1,求证:x>1n(1+x).
如图,已知长方体ABCD-A
1
B
1
C
1
D
1
.求证:平面AB
1
D
1
∥平面BDC
1
.
(1)已知z的共轭复数是
.
z
,且
z•
.
z
-3i•z=
10
1-3i
,求z.
(2)已知z是虚数,求证:
z+
1
z
为实数的充要条件是|z|=1.
(1)已知Z是复数,求证:①
|Z|
2
=Z•
.
Z
;②
.
Z-
.
Z
=
.
Z
-Z
;
(2)已知z
1
,z
2
是复数,若|z
1
-
.
z
2
|=|1-z
1
z
2
|,求证:|z
1
|,|z
2
|中至少有一个值为1.
(1)已知
cosα=
1
7
,cos(α-β)=
13
14
,且
0<β<α<
π
2
,求β的值.
(2)已知
A+B=
π
4
,求证:(1+tanA)(1+tanB)=2.
关 闭
试题分类
高中
数学
英语
物理
化学
生物
地理
初中
数学
英语
物理
化学
生物
地理
小学
数学
英语
其他
阅读理解答案
已回答习题
未回答习题
题目汇总
试卷汇总
练习册解析答案