题目内容
设f(x)=(1+
)x-
.
其中
,t为常数;集合M={x
﹤0,
},则对任意实常数t,总有
A.-3
M,0
M
B.-3
M,0
M
C.-3
M,0
M
D.-3
M,0
M
【答案】
D
【解析】
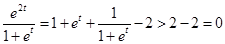
试题分析:
,
,所以
,选D.
考点:函数与不等式.
练习册系列答案
相关题目
设f(x)=
,则函数f(x)的值域是( )
|
| A、{0,1} |
| B、[0,1] |
| C、{(0,1)} |
| D、(0,1) |