题目内容
计算:(1)已知a>0,a2x=3,求(2)求
【答案】分析:(1)首先利用立方和公式把分子分解,约分整理成最简形式,把负指数表示的式子化成正指数,把所给的条件代入即可.
(2)把对数中的真数写成指数形式,利用对数的性质,把真数的指数提前,再利用对数的性质进行运算,得到结果.
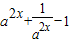
解答:解:(1)原式=
=
=
.
(2)原式=
=
=-4lg10=-4.
点评:本题考查对数的性质和有理指数幂的运算,解题的过程中注意对数性质的应用,这里比较容易出错的还是立方和公式,高中和初中阶段都没有讲解.
(2)把对数中的真数写成指数形式,利用对数的性质,把真数的指数提前,再利用对数的性质进行运算,得到结果.
解答:解:(1)原式=
=
(2)原式=
=
点评:本题考查对数的性质和有理指数幂的运算,解题的过程中注意对数性质的应用,这里比较容易出错的还是立方和公式,高中和初中阶段都没有讲解.
练习册系列答案
相关题目