题目内容
已知函数
。
(1)证明f(x)在(1,+∞)上是减函数;
(2)当x∈[3,5]时,求f(x)的最小值和最大值.
(1)证明f(x)在(1,+∞)上是减函数;
(2)当x∈[3,5]时,求f(x)的最小值和最大值.
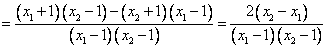
(1)证明:设
,
则
,
因
∴
,
因
,∴
,∴
,∴
,
∴f(x)在(1,+∞)上是减函数.
(2)解:因
,
∴f(x)在[3,5]上是减函数,
∴
。
则
因
因
∴f(x)在(1,+∞)上是减函数.
(2)解:因
∴f(x)在[3,5]上是减函数,
∴
练习册系列答案
相关题目