ÌâÄ¿ÄÚÈÝ
ij¸ßУÔÚ2011ÄêµÄ×ÔÖ÷ÕÐÉú¿¼ÊԳɼ¨ÖÐËæ»ú³éÈ¡100ÃûѧÉúµÄ±ÊÊԳɼ¨£¬°´³É¼¨·Ö×飺µÚ1×é[75£¬80£©£¬µÚ2×é[80£¬85£©£¬µÚ3×é[85£¬90£©£¬µÚ4×é[90£¬95£©£¬µÚ5×é[95£¬100]µÃµ½µÄƵÂÊ·Ö²¼Ö±·½Í¼ÈçͼËùʾ£®£¨¢ñ£©·Ö±ðÇóµÚ3£¬4£¬5×éµÄƵÂÊ£»
£¨¢ò£©Èô¸ÃУ¾ö¶¨ÔÚ±ÊÊԳɼ¨¸ßµÄµÚ3£¬4£¬5×éÖÐÓ÷ֲã³éÑù³éÈ¡6ÃûѧÉú½øÈëµÚ¶þÂÖÃæÊÔ£¬
£¨A£©ÒÑ֪ѧÉú¼×ºÍѧÉúÒҵijɼ¨¾ùÔÚµÚÈý×飬ÇóѧÉú¼×ºÍѧÉúÒÒͬʱ½øÈëµÚ¶þÂÖÃæÊԵĸÅÂÊ£»
£¨B£©Ñ§Ð£¾ö¶¨ÔÚÕâ6ÃûѧÉúÖÐËæ»ú³éÈ¡2ÃûѧÉú½ÓÊÜ¿¼¹ÙDµÄÃæÊÔ£¬µÚ4×éÖÐÓЦÎÃûѧÉú±»¿¼¹ÙDÃæÊÔ£¬Çó¦ÎµÄ·Ö²¼ÁкÍÊýѧÆÚÍû£®
¡¾´ð°¸¡¿·ÖÎö£º£¨I£©¸ù¾ÝƵÂÊ·Ö²½Ö±·½Í¼µÄÐÔÖÊ£¬¸ù¾ÝËù¸øµÄƵÂÊ·Ö²½Ö±·½Í¼ÖÐС¾ØÐεij¤ºÍ¿í£¬Çó³ö¾ØÐεÄÃæ»ý£¬¼´Õâ×éÊý¾ÝµÄƵÂÊ£®
£¨II£©£¨A£©±¾ÌâÊÇÒ»¸öµÈ¿ÉÄÜʼþµÄ¸ÅÂÊ£¬ÊÔÑé·¢Éú°üº¬µÄʼþÊýÊÇC303£¬Âú×ãÌõ¼þµÄʼþÊýÊÇC281£¬¸ù¾ÝµÈ¿ÉÄÜʼþµÄ¸ÅÂʹ«Ê½£¬µÃµ½½á¹û£®
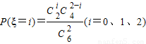
£¨B£©ÓÉÌâÒâÖª±äÁ¿¦ÎµÄ¿ÉÄÜȡֵÊÇ0£¬1£¬2£¬¸Ã±äÁ¿·ûºÏ³¬¼¸ºÎ·Ö²¼£¬¸ù¾Ý³¬¼¸ºÎ·Ö²¼µÄ¸ÅÂʹ«Ê½Ð´³ö±äÁ¿µÄ¸ÅÂÊ£¬Ð´³öÕâ×éÊý¾ÝµÄ·Ö²¼ÁÐºÍÆÚÍûÖµ£®
½â´ð£º½â£º£¨¢ñ£©¸ù¾ÝËù¸øµÄƵÂÊ·Ö²½Ö±·½Í¼ÖÐСÕý·½Ðεij¤ºÍ¿í£¬
µÃµ½µÚÈý×éµÄƵÂÊΪ0.06×5=0.3£»
µÚËÄ×éµÄƵÂÊΪ0.04×5=0.2£»
µÚÎå×éµÄƵÂÊΪ0.02×5=0.1£®
£¨¢ò£©£¨A£©ÓÉÌâÒâÖª±¾ÌâÊÇÒ»¸öµÈ¿ÉÄÜʼþµÄ¸ÅÂÊ£¬
ÊÔÑé·¢Éú°üº¬µÄʼþÊýÊÇC303£¬
ÉèM£ºÑ§Éú¼×ºÍѧÉúÒÒͬʱ½øÈëµÚ¶þÂÖÃæÊÔ
Âú×ãÌõ¼þµÄʼþÊýÊÇC281£¬
¡àP£¨M£©=
=
£¨B£©ÓÉÌâÒâÖª±äÁ¿¦ÎµÄ¿ÉÄÜȡֵÊÇ0£¬1£¬2
¸Ã±äÁ¿·ûºÏ³¬¼¸ºÎ·Ö²¼£¬
¡à
¡à·Ö²¼ÁÐÊÇ
¡à
µãÆÀ£º±¾Ì⿼²éƵÂÊ·Ö²½Ö±·½Í¼µÄÐÔÖÊ£¬¿¼²éµÈ¿ÉÄÜʼþµÄ¸ÅÂÊ£¬¿¼²éÀëÉ¢ÐÍËæ»ú±äÁ¿µÄ·Ö²¼ÁÐºÍÆÚÍû£¬¿¼²é³¬¼¸ºÎ·Ö²¼£¬±¾ÌâÊÇÒ»¸ö¸ÅÂÊÓëͳ¼ÆµÄ×ÛºÏÌâÄ¿£®
£¨II£©£¨A£©±¾ÌâÊÇÒ»¸öµÈ¿ÉÄÜʼþµÄ¸ÅÂÊ£¬ÊÔÑé·¢Éú°üº¬µÄʼþÊýÊÇC303£¬Âú×ãÌõ¼þµÄʼþÊýÊÇC281£¬¸ù¾ÝµÈ¿ÉÄÜʼþµÄ¸ÅÂʹ«Ê½£¬µÃµ½½á¹û£®
£¨B£©ÓÉÌâÒâÖª±äÁ¿¦ÎµÄ¿ÉÄÜȡֵÊÇ0£¬1£¬2£¬¸Ã±äÁ¿·ûºÏ³¬¼¸ºÎ·Ö²¼£¬¸ù¾Ý³¬¼¸ºÎ·Ö²¼µÄ¸ÅÂʹ«Ê½Ð´³ö±äÁ¿µÄ¸ÅÂÊ£¬Ð´³öÕâ×éÊý¾ÝµÄ·Ö²¼ÁÐºÍÆÚÍûÖµ£®
½â´ð£º½â£º£¨¢ñ£©¸ù¾ÝËù¸øµÄƵÂÊ·Ö²½Ö±·½Í¼ÖÐСÕý·½Ðεij¤ºÍ¿í£¬
µÃµ½µÚÈý×éµÄƵÂÊΪ0.06×5=0.3£»
µÚËÄ×éµÄƵÂÊΪ0.04×5=0.2£»
µÚÎå×éµÄƵÂÊΪ0.02×5=0.1£®
£¨¢ò£©£¨A£©ÓÉÌâÒâÖª±¾ÌâÊÇÒ»¸öµÈ¿ÉÄÜʼþµÄ¸ÅÂÊ£¬
ÊÔÑé·¢Éú°üº¬µÄʼþÊýÊÇC303£¬
ÉèM£ºÑ§Éú¼×ºÍѧÉúÒÒͬʱ½øÈëµÚ¶þÂÖÃæÊÔ
Âú×ãÌõ¼þµÄʼþÊýÊÇC281£¬
¡àP£¨M£©=
£¨B£©ÓÉÌâÒâÖª±äÁ¿¦ÎµÄ¿ÉÄÜȡֵÊÇ0£¬1£¬2
¸Ã±äÁ¿·ûºÏ³¬¼¸ºÎ·Ö²¼£¬
¡à
¡à·Ö²¼ÁÐÊÇ
| ¦Î | 1 | 2 | |
| P |
µãÆÀ£º±¾Ì⿼²éƵÂÊ·Ö²½Ö±·½Í¼µÄÐÔÖÊ£¬¿¼²éµÈ¿ÉÄÜʼþµÄ¸ÅÂÊ£¬¿¼²éÀëÉ¢ÐÍËæ»ú±äÁ¿µÄ·Ö²¼ÁÐºÍÆÚÍû£¬¿¼²é³¬¼¸ºÎ·Ö²¼£¬±¾ÌâÊÇÒ»¸ö¸ÅÂÊÓëͳ¼ÆµÄ×ÛºÏÌâÄ¿£®
Á·Ï°²áϵÁдð°¸
Ïà¹ØÌâÄ¿