题目内容
已知元素为实数的集合S满足下列条件:①1、0∉S;②若a∈S,则(1)若{2,-2}⊆S,求使元素个数最少的集合S;
(2)若非空集合S为有限集,则你对集合S的元素个数有何猜测?并请证明你的猜测正确.
【答案】分析:(1)根据条件若a∈S,则
,分别利用2,-2∈S,进行推导.(2)要使非空集合S为有限集,则集合元素具备一定规律性,利用规律性进行判断.
解答:解:
;----(2分)
--------------(3分)
∴使{2,-2}?S的元素个数最少的集合S为
------------(4分)
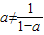
(2)设a∈S,则a≠0,1且
(*)
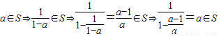
由于
,但a2-a+1=0无实数根
故
同理
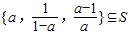
∴
---------------------------------(7分)
若存在b∈S,而
,则
且
(若
中有元素∈
,
则利用前述的(*)式可知b∈
)
于是
------------------------------------------------(9分)
上述推理还可继续,由于S为有限集,故上述推理有限步可中止
∴S的元素个数为3的倍数.--------------------------------------------------------(10分)
点评:本题主要考查集合元素的确定,利用条件进行推导元素是解决本题的关键,考查学生的推理和分析能力.
解答:解:
∴使{2,-2}?S的元素个数最少的集合S为
(2)设a∈S,则a≠0,1且
由于
故
若存在b∈S,而
(若
则利用前述的(*)式可知b∈
于是
上述推理还可继续,由于S为有限集,故上述推理有限步可中止
∴S的元素个数为3的倍数.--------------------------------------------------------(10分)
点评:本题主要考查集合元素的确定,利用条件进行推导元素是解决本题的关键,考查学生的推理和分析能力.
练习册系列答案
相关题目