题目内容
执行如图的程序框图,如果输入p=8,则输出的S=( )
![]()
A、
B、
C、
D、![]()
【答案】
C
【解析】
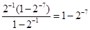
试题分析:由程序框图可知,输出的S=0+
=
=
,故选C.
考点:程序框图和循环赋值.
练习册系列答案
相关题目
A、
| ||
B、
| ||
C、
| ||
D、
|
题目内容
执行如图的程序框图,如果输入p=8,则输出的S=( )
![]()
A、
B、
C、
D、![]()
C
【解析】
试题分析:由程序框图可知,输出的S=0+
=
=
,故选C.
考点:程序框图和循环赋值.
A、
| ||
B、
| ||
C、
| ||
D、
|