题目内容
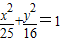
椭圆
的焦点为
,过F2垂直于x轴的直线交椭圆于一点P,那么|PF1|的值是 。
;
练习册系列答案
相关题目
椭圆的焦点为F1、F2,过点F1作直线与椭圆相交,被椭圆截得的最短的线段MN长为
,△MF2N的周长为12,则椭圆的离心率为( )
| 8 |
| 3 |
A、
| ||||
B、
| ||||
C、
| ||||
D、
|
题目内容
椭圆
的焦点为
,过F2垂直于x轴的直线交椭圆于一点P,那么|PF1|的值是 。
;
| 8 |
| 3 |
A、
| ||||
B、
| ||||
C、
| ||||
D、
|