题目内容

中,

(Ⅰ)求的值;

(Ⅱ)若,求的面积.

 

【答案】

(Ⅰ). (Ⅱ).

【解析】

试题分析:(Ⅰ)利用三角函数诱导公式及两角和差的三角函数.

(Ⅱ)根据正弦定理先求的长,利用三角形面积公式求解.

本题不难,思路比较明确,要注意认真计算.

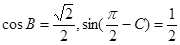
试题解析:(Ⅰ)在中,因为

所以.                     (3分)

所以

.                                  (6分)

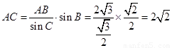
(Ⅱ)根据正弦定理得:

所以.                                 (9分)

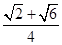
.                     12(分)

考点:三角函数诱导公式、两角和差的三角函数、正弦定理的应用.

 

练习册系列答案
相关题目

违法和不良信息举报电话:027-86699610 举报邮箱:58377363@163.com

精英家教网