题目内容
如图,在平面直角坐标系xOy中,点F为椭圆
【答案】分析:由题设中的条件及椭圆的对称性知菱形的边长为c,N点的横坐标为
,代入椭圆的方程可以求得其纵坐标,再利用ON=c建立方程整理即可得到椭圆的离心率
解答:解:由题意知菱形的边长为c,由椭圆的对称性知N点的横坐标为
,由于ON=c,故
+y2=c2,解得点N的纵坐标为
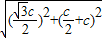
,则NF=
=
c
又由椭圆的对称性知点N到右焦点的距离是c,由椭圆的定义知2a=c+
c,故得e=
=
故答案为:
点评:本题考查椭圆的简单性质,解题的关键是根据椭圆的图形的对称性得出点N的坐标,求出点N到两个焦点的距离,由椭圆的定义建立方程整理即可求出椭圆的离心率.本题解题方法唯一,利用题设条及椭圆的对称性判断出点N的坐标比较抽象,做题时要注意数结合,探究规律.
解答:解:由题意知菱形的边长为c,由椭圆的对称性知N点的横坐标为
又由椭圆的对称性知点N到右焦点的距离是c,由椭圆的定义知2a=c+
故答案为:
点评:本题考查椭圆的简单性质,解题的关键是根据椭圆的图形的对称性得出点N的坐标,求出点N到两个焦点的距离,由椭圆的定义建立方程整理即可求出椭圆的离心率.本题解题方法唯一,利用题设条及椭圆的对称性判断出点N的坐标比较抽象,做题时要注意数结合,探究规律.
练习册系列答案
相关题目
| A、偶函数 | B、奇函数 | C、不是奇函数,也不是偶函数 | D、奇偶性与k有关 |