题目内容
设函数f(x)=4x+cosx,{an}是公差为A.
B.
C.
D.无法确定
【答案】分析:由f(x)=4x+cosx,又{an}是公差为
的等差数列,可求得f(a1)+f(a2)+…+f(a5)=20a3+cosa3(1+
+
),可求得a3=
从而可求得答案.
解答:解:∵f(x)=4x+cosx,
∴f(a1)+f(a2)+…+f(a5)=4(a1+a2+…+a5)+(cosa1+cosa2+…+cosa5),
∵{an}是公差为
的等差数列,
∴a1+a2+…+a5=5a3,由和差化积公式可得:cosa1+cosa2+…+cosa5
=(cosa1+cosa5)+(cosa2+cosa4)+cosa3
=[cos(a3-
×2)+cos(a3+
×2)]+[cos(a3-
)+cos(a3+
)]+cosa3
=2cos
cos
+2cos
cos
+cosa3
=2cosa3•
+2cosa3•cos(-
)+cosa3
=cosa3(1+
+
),
∵f(a1)+f(a2)+…+f(a5)=10π,即20a3+cosa3(1+
+
)=10π,
∴cosa3=0,a3=
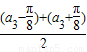
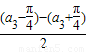
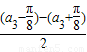
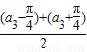
∴
=
=
故选B
点评:本题考查数列与三角函数的综合应用,求得cosa3=0,a3=
是关键,也是难点,考查分析,推理与计算能力,属于难题.
解答:解:∵f(x)=4x+cosx,
∴f(a1)+f(a2)+…+f(a5)=4(a1+a2+…+a5)+(cosa1+cosa2+…+cosa5),
∵{an}是公差为
∴a1+a2+…+a5=5a3,由和差化积公式可得:cosa1+cosa2+…+cosa5
=(cosa1+cosa5)+(cosa2+cosa4)+cosa3
=[cos(a3-
=2cos
=2cosa3•
=cosa3(1+
∵f(a1)+f(a2)+…+f(a5)=10π,即20a3+cosa3(1+
∴cosa3=0,a3=
∴
故选B
点评:本题考查数列与三角函数的综合应用,求得cosa3=0,a3=
练习册系列答案
相关题目
设函数f(x)=
在点x=1处连续,则a等于( )
|
A、-
| ||
B、
| ||
C、-
| ||
D、
|