题目内容
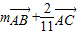
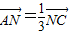
如图,在△ABC中,A.
B.
C.
D.
【答案】分析:由已知中△ABC中,
,P是BN上的一点,设
后,我们易将
表示为
的形式,根据平面向量的基本定理我们易构造关于λ,m的方程组,解方程组后即可得到m的值
解答:解:∵P是BN上的一点,
设
,由
,
则
=
=
=
=
=
∴m=1-λ,
解得λ=
,m=
故选D
点评:本题考查的知识点是面向量的基本定理及其意义,其中根据面向量的基本定理构造关于λ,m的方程组,是解答本题的关键.
解答:解:∵P是BN上的一点,
设
则
=
=
=
=
=
∴m=1-λ,
解得λ=
故选D
点评:本题考查的知识点是面向量的基本定理及其意义,其中根据面向量的基本定理构造关于λ,m的方程组,是解答本题的关键.
练习册系列答案
相关题目
| 3 |
A、
| ||||
B、
| ||||
C、
| ||||
D、
|