题目内容

如图,在平面四边形ABCD中,已知,,现将四边形ABCD沿BD折起,使平面ABD平面BDC,设点F为棱AD的中点.

 

(1)求证:DC平面ABC;

(2)求直线与平面ACD所成角的余弦值.

 

【答案】

(1)见解析;(2).

【解析】

试题分析:(1)要证DC平面ABC,则需证DC垂直平面ABC内的两条相交直线,需证AB⊥CD,CD⊥BC,可得结论;(2)求直线与面所成的角,需过直线上一点(异于与面的交点)向面作垂线,此题根据已知条件在面ABC内过点B向AC作垂线BE,再证BE与面ADC垂直,即可找出直线BF与面ACD所成的角,最后在角所在的三角形中求解.

试题解析:(1)证明:在图甲中∵ ∴ ,,即

在图乙中,∵平面ABD平面BDC , 且平面ABD平面BDC=BD,∴AB⊥底面BDC,∴AB⊥CD.

,∴DC⊥BC,且 ∴DC平面ABC.           7分

(2)解:作BE⊥AC,垂足为E,

由(1)知平面ABC⊥平面ACD,又平面ABC平面ACD=AC,∴BF⊥平面ADC,

即为直线与平面ACD所成角

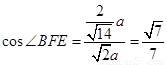
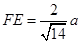
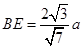
得AB=,AC=

   ∴

∴直线与平面ACD所成角的余弦值为.  ..14分 

考点:1、线面垂直的判定定理;2、直线与面所成角的作法及求发.

 

练习册系列答案
相关题目

违法和不良信息举报电话:027-86699610 举报邮箱:58377363@163.com

精英家教网