ÌâÄ¿ÄÚÈÝ
ij¹¤³§Éú²úÒ»ÖÖÁã¼þ£¬¸ÃÁã¼þÓмס¢ÒÒÁ½Ïî¼¼ÊõÖ¸±êÐèÒª¼ìÑ飬ÉèÁ½Ïî¼¼ÊõÖ¸±ê¼ìÑ黥²»Ó°Ï죬¾Ñо¿¼×ÏîÖ¸±ê´ï±êÂÊΪ£¬ÒÒÏîÖ¸±ê´ï±êÂÊΪ¡£¹æ¶¨£ºÁ½ÏîÖ¸±ê¶¼´ï±êµÄÁã¼þΪһµÈÆ·£¬ÆäÖÐÒ»ÏîÖ¸±ê²»´ï±êΪ¶þµÈÆ·£¬Á½Ïî¾ù²»´ï±êµÄΪ´ÎÆ·¡£ÒÑÖªÉú²úÒ»¸öÒ»µÈÆ·¡¢¶þµÈÆ·µÄÀûÈó·Ö±ðΪ500Ôª¡¢200Ôª£¬³öÏÖÒ»¸ö´ÎÆ·¿÷Ëð400Ôª£¬
(¢ñ)ÇóÉú²úÒ»¸öÁã¼þµÄƽ¾ùÀûÈó£»
(¢ò)Èô¸Ã¹¤³§Ä³Ê±¶ÎÉú²úÁË5¸öÁã¼þ£¬¼Ç¸Ã5¸öÁã¼þÖÐÒ»µÈÆ·µÄ¸öÊýΪX£¬ÇóP(X¡Ý2)¼°E(X)£¬D(X)£®
(¢ñ)ÇóÉú²úÒ»¸öÁã¼þµÄƽ¾ùÀûÈó£»
(¢ò)Èô¸Ã¹¤³§Ä³Ê±¶ÎÉú²úÁË5¸öÁã¼þ£¬¼Ç¸Ã5¸öÁã¼þÖÐÒ»µÈÆ·µÄ¸öÊýΪX£¬ÇóP(X¡Ý2)¼°E(X)£¬D(X)£®
½â£º(¢ñ)Éú²úÒ»¸öÁã¼þΪһµÈÆ·µÄ¸ÅÂÊΪ
£¬
Éú²úÒ»¸öÁã¼þΪ¶þµÈÆ·µÄ¸ÅÂÊΪ
£¬
Éú²úÒ»¸öÁã¼þΪ´ÎÆ·µÄ¸ÅÂÊΪ
£¬
ÔòÉú²úÒ»¸öÁã¼þµÄƽ¾ùÀûÈóΪ
£¨Ôª£©¡£
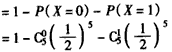
(¢ò)ÓÉÌâÒ⣬֪
£¬
Ôò

£¬
£¬
¡£
Éú²úÒ»¸öÁã¼þΪ¶þµÈÆ·µÄ¸ÅÂÊΪ
Éú²úÒ»¸öÁã¼þΪ´ÎÆ·µÄ¸ÅÂÊΪ
ÔòÉú²úÒ»¸öÁã¼þµÄƽ¾ùÀûÈóΪ
(¢ò)ÓÉÌâÒ⣬֪
Ôò
Á·Ï°²áϵÁдð°¸
Ïà¹ØÌâÄ¿