题目内容
数列﹛
﹜中,
=
,前n项和
满足
+1-
=(
)n+1 (n
N*
)
(1)求数列﹛
﹜的通项公式
以及前n项和![]()
(2)若
,t(
+
), 3(
+
)成等差数列,求实数t的值。
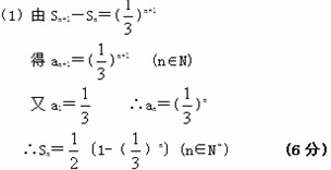
(1) ![]()
(2) t=2
解析![]()
(2)由(1)知
=
,
=
,
=![]()
由
,t(
+
),
3(
﹢
)成等差数列可得
﹢3×(
﹢
)=2t(
﹢
) ∴t="2 " (12分)
练习册系列答案
相关题目
题目内容
数列﹛
﹜中,
=
,前n项和
满足
+1-
=(
)n+1 (n
N*
)
(1)求数列﹛
﹜的通项公式
以及前n项和![]()
(2)若
,t(
+
), 3(
+
)成等差数列,求实数t的值。
(1) ![]()
(2) t=2
解析![]()
(2)由(1)知
=
,
=
,
=![]()
由
,t(
+
),
3(
﹢
)成等差数列可得
﹢3×(
﹢
)=2t(
﹢
) ∴t="2 " (12分)