题目内容
已知在数列{an}中,Sn是数列{an}的前n项和,a1=1且4Sn=an·an+1+1 ,
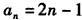
(1)求数列{an}的通项公式;
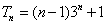
(2)令bn=an·3n-1,求数列{bn}的前n项和Tn。
(1)求数列{an}的通项公式;
(2)令bn=an·3n-1,求数列{bn}的前n项和Tn。
解:(1)∵
,①
∴
,②
②-①得,
,
由题意知,
,∴
,
由a1=1得a3=5,易得
,
∴
。
(2)∵
,
∴
,
两式相减得


,
所以
。
∴
②-①得,
由题意知,
由a1=1得a3=5,易得
∴
(2)∵
∴
两式相减得
所以
练习册系列答案
相关题目