题目内容
已知数列(Ⅰ)证明:{bn}为等差数列;
(Ⅱ)求数列{an}的前n项和Sn;
(Ⅲ)设
【答案】分析:(I)由已知中
,化简可得bn-bn-1=1,进而根据等差数列的定义可得结论
(II)由(I)求出数列{an}的通项公式,进而利用错位相减法,可得答案.
(III)结合(I)的结论,求出数列{cn}的通项公式,进而利用裂项相消法,求出数列{cn}的前n项和Tn,进而求出m的值,
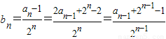
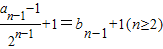
解答:解:(Ⅰ)证明:∵
=
,
∴bn-bn-1=1(n≥2),
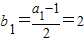
∴{bn}是公差为1,首项为
的等差数列…(4分)
(Ⅱ)解:由(Ⅰ)知bn=2+(n-1)•1=n+1,
即
,
∴
,
∴
,…(6分)
令
,
∴
,
∴
=
=4+2n+1-4-n•2n+1-2n+1=-n•2n+1,
∴
,∴
.…(9分)
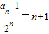
(Ⅲ)由(Ⅰ)知,
=
…(12分)
∴
,
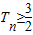
依题意有
,
解得-1<m<6,
故所求最大正整数m的值为5…(14分)
点评:本题考查的知识点是数列求和,数列的应用及等差关系的确定,其中(I)的关键是熟练掌握定义法求证等差数列的步骤,(II)(III)的关键是熟练掌握错位相减法和裂项相消法的适用范围及方法步骤.
(II)由(I)求出数列{an}的通项公式,进而利用错位相减法,可得答案.
(III)结合(I)的结论,求出数列{cn}的通项公式,进而利用裂项相消法,求出数列{cn}的前n项和Tn,进而求出m的值,
解答:解:(Ⅰ)证明:∵
∴bn-bn-1=1(n≥2),
∴{bn}是公差为1,首项为
(Ⅱ)解:由(Ⅰ)知bn=2+(n-1)•1=n+1,
即
∴
∴
令
∴
∴
∴
(Ⅲ)由(Ⅰ)知,
=
∴
依题意有
解得-1<m<6,
故所求最大正整数m的值为5…(14分)
点评:本题考查的知识点是数列求和,数列的应用及等差关系的确定,其中(I)的关键是熟练掌握定义法求证等差数列的步骤,(II)(III)的关键是熟练掌握错位相减法和裂项相消法的适用范围及方法步骤.
练习册系列答案
相关题目