题目内容
已知二次函数f(x)=ax2+bx+c,不等式f(x)>-2x的解集为(1,3).(Ⅰ)若方程f(x)+6a=0有两个相等的实根,求f(x)的解析式;
(Ⅱ)若f(x)的最大值为正数,求实数a的取值范围.
【答案】分析:(Ⅰ根据不等式f(x)>-2x的解集为(1,3)得出x=1和x=3是方程ax2+(b+2)x+c=0(a<0)的两根列出关于a,b的等式再根据方程f(x)+6a=0有两个相等的实根得到:△=0求得a值,从而得到f(x)的解析式;
(Ⅱ)由(Ⅰ)知f(x)=ax2-2(2a+1)x+3a配方后即可求得其最大值为
再由题意得出关于a的不等关系,即可求得a的取值范围.
解答:解:(Ⅰ)∵不等式f(x)>-2x的解集为(1,3)
∴x=1和x=3是方程ax2+(b+2)x+c=0(a<0)的两根
∴
∴b=-4a-2,c=3a
又方程f(x)+6a=0有两个相等的实根
∴△=b2-4a(c+6a)=0
∴4(2a+1)2-4a×9a=0
∴(5a+1)(1-a)=0
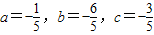
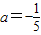
∴
或a=1(舍)
∴
∴
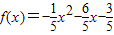
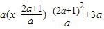
(Ⅱ)由(Ⅰ)知f(x)=ax2-2(2a+1)x+3a=
=
∵a<0,
∴f(x)的最大值为
∵f(x)的最大值为正数
∴
∴
解得
或
∴所求实a的取值范围是
点评:本小题主要考查函数的最值及其几何意义、函数与方程的综合运用、不等式的解法等基础知识,考查运算求解能力,与转化思想.属于基础题.
(Ⅱ)由(Ⅰ)知f(x)=ax2-2(2a+1)x+3a配方后即可求得其最大值为
解答:解:(Ⅰ)∵不等式f(x)>-2x的解集为(1,3)
∴x=1和x=3是方程ax2+(b+2)x+c=0(a<0)的两根
∴
∴b=-4a-2,c=3a
又方程f(x)+6a=0有两个相等的实根
∴△=b2-4a(c+6a)=0
∴4(2a+1)2-4a×9a=0
∴(5a+1)(1-a)=0
∴
∴
∴
(Ⅱ)由(Ⅰ)知f(x)=ax2-2(2a+1)x+3a=
∵a<0,
∴f(x)的最大值为
∵f(x)的最大值为正数
∴
∴
∴所求实a的取值范围是
点评:本小题主要考查函数的最值及其几何意义、函数与方程的综合运用、不等式的解法等基础知识,考查运算求解能力,与转化思想.属于基础题.
练习册系列答案
相关题目