题目内容

在等比数列{an}中,.设,Tn为数列{bn}的前n项和.
(Ⅰ)求an和Tn
(Ⅱ)若对任意的,不等式恒成立,求实数λ的取值范围.

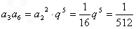
解:(Ⅰ)设{an}的公比为q,由



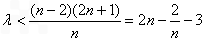
(Ⅱ)①当为n偶数时,
恒成立得,恒成立,
,  
随n的增大而增大,
∴n=2时,∴
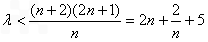
②当n为奇数时,
恒成立得,恒成立,

,当且仅当等号成立,
. 
综上,实数λ的取值范围.              
练习册系列答案
相关题目

违法和不良信息举报电话:027-86699610 举报邮箱:58377363@163.com

精英家教网