题目内容
如图,在平面直角坐标系xoy中,A1,A2,B1,B2为椭圆
的四个顶点,F为其右焦点,直线A1B2与直线B1F相交于点T,线段OT与椭圆的交点M恰为线段OT的中点,则该椭圆的离心率为 .
![]()
考点:
椭圆的简单性质.
专题:
计算题;压轴题.
分析:
解法一:可先直线A2B2的方程为
,直线B1F的方程为
,联立两直线的方程,解出点T的坐标,进而表示出中点M的坐标,代入椭圆的方程即可解出离心率的值;
解法二:对椭圆进行压缩变换,
,
,椭圆变为单位圆:x'2+y'2=1,F'(
,0).根据题设条件求出直线B1T方程,直线直线B1T与x轴交点的横坐标就是该椭圆的离心率.
解答:
解法一:由题意,可得直线A2B2的方程为
,直线B1F的方程为![]()
两直线联立得T(
),由于此点在椭圆上,故有
,整理得3a2﹣10ac﹣c2=0
即e2+10e﹣3=0,解得![]()
故答案为![]()
解法二:对椭圆进行压缩变换,
,
,
椭圆变为单位圆:x'2+y'2=1,F'(
,0).
延长TO交圆O于N
易知直线A1B1斜率为1,TM=MO=ON=1,
,
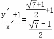
设T(x′,y′),则
,y′=x′+1,
由割线定理:TB2×TA1=TM×TN
,
(负值舍去)
![]()
易知:B1(0,﹣1)
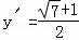
直线B1T方程:![]()
令y′=0
,即F横坐标
即原椭圆的离心率e=
.
故答案:
.
点评:
本题考查圆锥曲线的性质和应用,解题时要认真审题,仔细解答.
练习册系列答案
相关题目
| A、偶函数 | B、奇函数 | C、不是奇函数,也不是偶函数 | D、奇偶性与k有关 |