题目内容
已知
中,
,
,设
,并记
.
(1)求函数
的解析式及其定义域;
(2)设函数
,若函数
的值域为
,试求正实数
的值.
(1)
,定义域为
; (2)![]()
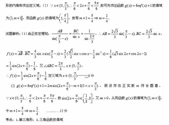
【解析】
试题分析:(1)先由正弦定理求出AB和BC的长,然后由向量的数量积求出函数f(x)的解析式并结合三角![]()
练习册系列答案
相关题目
题目内容
已知
中,
,
,设
,并记
.
(1)求函数
的解析式及其定义域;
(2)设函数
,若函数
的值域为
,试求正实数
的值.
(1)
,定义域为
; (2)![]()
【解析】
试题分析:(1)先由正弦定理求出AB和BC的长,然后由向量的数量积求出函数f(x)的解析式并结合三角![]()