题目内容
在△ABC中,三个内角A,B,C的对边分别为a,b,c,其中c=2,且
=
=
.
(1)求证:△ABC是直角三角形;
(2)设圆O过A,B,C三点,点P位于劣弧
上,∠PAB=θ,用θ的三角函数表示△PAC的面积,并求△PAC面积最大值.
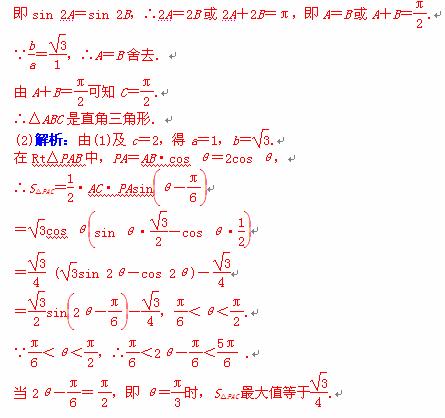
(1)证明:由正弦定理得
=
,
整理为sin Acos A=sin Bcos B,
![]()
练习册系列答案
相关题目
题目内容
在△ABC中,三个内角A,B,C的对边分别为a,b,c,其中c=2,且
=
=
.
(1)求证:△ABC是直角三角形;
(2)设圆O过A,B,C三点,点P位于劣弧
上,∠PAB=θ,用θ的三角函数表示△PAC的面积,并求△PAC面积最大值.
(1)证明:由正弦定理得
=
,
整理为sin Acos A=sin Bcos B,
![]()