题目内容
设函数(Ⅰ)当a=1时,过原点的直线与函数f(x)的图象相切于点P,求点P的坐标;
(Ⅱ)当
(Ⅲ)当
【答案】分析:(Ⅰ)确定函数f(x)的定义域,求出导函数,利用过原点的直线与函数f(x)的图象相切于点P,可求点P的坐标;
(Ⅱ)求导函数,f'(x)<0,可得函数的单调减区间;f'(x)>0,可得出函数f(x)的单调递增区间;
(Ⅲ)?x1∈(0,e],?x2∈[0,1]使f(x1)≥g(x2)成立,等价于g(x)在[0,1]上的最小值不大于f(x)在(0,e]上的最小值,由此可求b的取值范围.
解答:解:函数f(x)的定义域为(0,+∞),
(2分)
(Ⅰ)设点P(x,y)(x>0),当a=1时,f(x)=lnx-x-1,则y=lnx-x-1,
,
∴
(3分)
解得
,故点P 的坐标为(e2,1-e2)(4分)
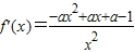
(Ⅱ)
=
∵
,∴
(5分)
∴当0<x<1,或
时,f'(x)<0;当
时,f'(x)>0
故当
时,函数f(x)的单调递增区间为
;
单调递减区间为(0,1),
(7分)
(Ⅲ)当
时,
由(Ⅱ)可知函数f(x)在(0,1)上是减函数,在(1,2)上为增函数,在(2,e]上为减函数,且
,
∵
,又
,∴(e-1)2<3,
∴f(e)>f(1),故函数f(x)在(0,e]上的最小值为
(9分)
若?x1∈(0,e],?x2∈[0,1]使f(x1)≥g(x2)成立,等价于g(x)在[0,1]上的最小值不大于f(x)在(0,e]上的最小值
(*) (10分)
又
,x∈[0,1]
①当b<0时,g(x)在[0,1]上为增函数,
与(*)矛盾
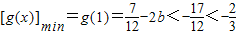
②当0≤b≤1时,
,由
及0≤b≤1得,
③当b>1时,g(x)在[0,1]上为减函数,
,
此时b>1
综上,b的取值范围是
(12分)
点评:本题考查导数知识的运用,考查导数的几何意义,考查函数的单调性,考查函数的最值,解题的关键是将?x1∈(0,e],?x2∈[0,1]使f(x1)≥g(x2)成立,转化为g(x)在[0,1]上的最小值不大于f(x)在(0,e]上的最小值
(Ⅱ)求导函数,f'(x)<0,可得函数的单调减区间;f'(x)>0,可得出函数f(x)的单调递增区间;
(Ⅲ)?x1∈(0,e],?x2∈[0,1]使f(x1)≥g(x2)成立,等价于g(x)在[0,1]上的最小值不大于f(x)在(0,e]上的最小值,由此可求b的取值范围.
解答:解:函数f(x)的定义域为(0,+∞),
(Ⅰ)设点P(x,y)(x>0),当a=1时,f(x)=lnx-x-1,则y=lnx-x-1,
∴
解得
(Ⅱ)
∵
∴当0<x<1,或
故当
单调递减区间为(0,1),
(Ⅲ)当
由(Ⅱ)可知函数f(x)在(0,1)上是减函数,在(1,2)上为增函数,在(2,e]上为减函数,且
∵
∴f(e)>f(1),故函数f(x)在(0,e]上的最小值为
若?x1∈(0,e],?x2∈[0,1]使f(x1)≥g(x2)成立,等价于g(x)在[0,1]上的最小值不大于f(x)在(0,e]上的最小值
又
①当b<0时,g(x)在[0,1]上为增函数,
②当0≤b≤1时,
③当b>1时,g(x)在[0,1]上为减函数,
此时b>1
综上,b的取值范围是
点评:本题考查导数知识的运用,考查导数的几何意义,考查函数的单调性,考查函数的最值,解题的关键是将?x1∈(0,e],?x2∈[0,1]使f(x1)≥g(x2)成立,转化为g(x)在[0,1]上的最小值不大于f(x)在(0,e]上的最小值
练习册系列答案
相关题目