题目内容
椭圆C:(I)求椭圆C的方程;
(II)斜率不为0的直线l与椭圆C交于M、N两点,定点A(0,1),若|AM|=|AN|,求直线l的斜率k的取值范围.
【答案】分析:(I)利用椭圆C:
=1(a>b>0)的离心率为
,且椭圆上动点P到左焦点距离的最大值为
,建立方程组,求得几何量,即可求椭圆C的方程;
(II)利用点差法,结合|AM|=|AN|,可得AE⊥MN,从而可得E的坐标,利用E在椭圆内部,建立不等式,即可求直线l的斜率k的取值范围.
解答:解:(I)∵椭圆C:
=1(a>b>0)的离心率为
,且椭圆上动点P到左焦点距离的最大值为
∴
,∴
,∴b=1
∴椭圆C的方程为
…(4分)
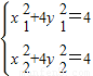
(II)设M(x1,y1),N(x2,y2),其中点E(x,y),则
两方程相减可得(x1+x2)(x1-x2)+4(y1+y2)(y1-y2)=0
∴x+4yk=0①
又AE⊥MN,故
,即x+ky=k②
由①②知,
,即
,…(8分)
∵E在椭圆内部,∴
∴k2<2…(10分)
又k≠0,故
…(12分)
点评:本题考查椭圆的性质与标准方程,考查点差法的运用,考查学生的计算能力,正确运用点差法是关键.
(II)利用点差法,结合|AM|=|AN|,可得AE⊥MN,从而可得E的坐标,利用E在椭圆内部,建立不等式,即可求直线l的斜率k的取值范围.
解答:解:(I)∵椭圆C:
∴
∴椭圆C的方程为
(II)设M(x1,y1),N(x2,y2),其中点E(x,y),则
两方程相减可得(x1+x2)(x1-x2)+4(y1+y2)(y1-y2)=0
∴x+4yk=0①
又AE⊥MN,故
由①②知,
∵E在椭圆内部,∴
∴k2<2…(10分)
又k≠0,故
点评:本题考查椭圆的性质与标准方程,考查点差法的运用,考查学生的计算能力,正确运用点差法是关键.
练习册系列答案
相关题目