题目内容
已知函数f(x)=x+(1)求函数f(x)的定义域.
(2)判断函数的奇偶性,并加以证明;
(3)用定义证明f(x)在(0,1)上是减函数.
【答案】分析:(1)求函数f(x)的定义域,可令函数解析式的分母不为0,即可得到所求函数的定义域;
(2)判断函数的奇偶性,要用定义法,由函数解析式研究f(-x)与f(x)的关系,即可证明出函数的性质;
(3)此函数是一个减函数,由定义法证明要先任取定义域内两个实数x1,x2且x1<x2,再两函数值作差,判断差的符号,再由定义得出结论.
解答:解:(1)由题意若函数f(x)=x+
的解析式有意义
自变量须满足x≠0,
所以函数的定义域是(-∞,0)∪(0,+∞)
(2)此函数是一个奇函数,证明如下
由(1)知函数的定义域关于原点对称,
又∵f(-x)=-x-
=-(x+
)=-f(x),
∴函数是奇函数;
(3)此函数在(0,1)上是减函数,证明如下:
任取x1,x2∈(0,1)且x1<x2,
∴x1-x2<0,x1•x2<1,x1•x2-1<0
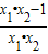
f(x1)-f(x2)=(
)-(
)=(x1-x2)(
)>0
即有f(x1)-f(x2)>0,
即f(x1)>f(x2)
故函数在(0,1)上是减函数
点评:本题考查了求函数的定义域,对数的运算法则,判断函数的奇偶性,定义法证明函数单调性,正确解答本题,关键是熟练记忆函数的性质及这些性质判断的方法,其中判断函数的单调性是本题的难点,定义法判断函数的单调性,其步骤是;取,作差,判号,得出结论,其中判号这一步易疏漏,切记
(2)判断函数的奇偶性,要用定义法,由函数解析式研究f(-x)与f(x)的关系,即可证明出函数的性质;
(3)此函数是一个减函数,由定义法证明要先任取定义域内两个实数x1,x2且x1<x2,再两函数值作差,判断差的符号,再由定义得出结论.
解答:解:(1)由题意若函数f(x)=x+
自变量须满足x≠0,
所以函数的定义域是(-∞,0)∪(0,+∞)
(2)此函数是一个奇函数,证明如下
由(1)知函数的定义域关于原点对称,
又∵f(-x)=-x-
∴函数是奇函数;
(3)此函数在(0,1)上是减函数,证明如下:
任取x1,x2∈(0,1)且x1<x2,
∴x1-x2<0,x1•x2<1,x1•x2-1<0
f(x1)-f(x2)=(
即有f(x1)-f(x2)>0,
即f(x1)>f(x2)
故函数在(0,1)上是减函数
点评:本题考查了求函数的定义域,对数的运算法则,判断函数的奇偶性,定义法证明函数单调性,正确解答本题,关键是熟练记忆函数的性质及这些性质判断的方法,其中判断函数的单调性是本题的难点,定义法判断函数的单调性,其步骤是;取,作差,判号,得出结论,其中判号这一步易疏漏,切记
练习册系列答案
相关题目
| π |
| 2 |
A、f(x)=2sin(πx+
| ||
B、f(x)=2sin(2πx+
| ||
C、f(x)=2sin(πx+
| ||
D、f(x)=2sin(2πx+
|