题目内容
设等差数列{an}的前n项和为Sn,若a1=-11,a4+a6=-6,则当Sn取最小值时,n等于( )A.6
B.7
C.8
D.9
【答案】分析:条件已提供了首项,故用“a1,d”法,再转化为关于n的二次函数解得.
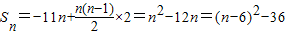
解答:解:设该数列的公差为d,则a4+a6=2a1+8d=2×(-11)+8d=-6,解得d=2,
所以
,所以当n=6时,Sn取最小值.
故选A
点评:本题考查等差数列的通项公式以及前n项和公式的应用,考查二次函数最值的求法及计算能力.
解答:解:设该数列的公差为d,则a4+a6=2a1+8d=2×(-11)+8d=-6,解得d=2,
所以
故选A
点评:本题考查等差数列的通项公式以及前n项和公式的应用,考查二次函数最值的求法及计算能力.
练习册系列答案
相关题目