题目内容
设函数f(x)=(x-a)ex+(a-1)x+a,a∈R.(1)当a=1时,求f(x)的单调区间;
(2)(i)设g(x)是f(x)的导函数,证明:当a>2时,在(0,+∞)上恰有一个x使得g(x)=0;
(ii)求实数a的取值范围,使得对任意的x∈[0,2],恒有f(x)≤0成立.注:e为自然对数的底数.
【答案】分析:(1)求导函数,利用导数的正负,可得f(x)的单调区间;
(2)(i)确定函数g(x)在(0,a-2)上递减;在(a-2,+∞)上递增,即可证得结论;
(ⅱ)先确定a>2,设f(x)在[0,2]上最大值为M,则M=max{f(0),f(2)},由此可求实数a的取值范围.
解答:(1)解:当a=1时,f(x)=(x-1)ex+1,f'(x)=xex--------------------------------------(2分)
当f'(x)<0时,x<0;当f'(x)>0时,x>0
所以函数f(x)的减区间是(-∞,0);增区间是(0,+∞)-------------------------(4分)
(2)证明:(ⅰ)g(x)=f'(x)=ex(x-a+1)+(a-1),g'(x)=ex(x-a+2)------------------(5分)
当g'(x)<0时,x<a-2;当g'(x)>0时,x>a-2
因为a>2,所以函数g(x)在(0,a-2)上递减;在(a-2,+∞)上递增-----------------(7分)
又因为g(0)=0,g(a)=ea+a-1>0,
所以在(0,+∞)上恰有一个x使得g(x)=0.--------------------------------------------------(9分)
(ⅱ)解:若a≤2,可得在x∈[0,2]时,g(x)≥0,从而f(x)在[0,2]内单调递增,而f(0)=0,
∴f(x)≥f(0)=0,不符题意.-------------------------------------------------(10分)
∴a>2
由(ⅰ)知f(x)在(0,x)递减,(x,+∞)递增,
设f(x)在[0,2]上最大值为M,则M=max{f(0),f(2)},
若对任意的x∈[0,2],恒有f(x)≤0成立,则
,------------------------------------(13分)
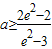
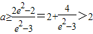
由f(2)≤0得(2-a)e2+2a-2+a≤0,∴
,
又f(0)=0,∴
.---------------------------------------------------------(15分)
点评:本题考查导数知识的运用,考查函数的单调性,考查函数的零点,考查恒成立问题,确定函数的最值是关键.
(2)(i)确定函数g(x)在(0,a-2)上递减;在(a-2,+∞)上递增,即可证得结论;
(ⅱ)先确定a>2,设f(x)在[0,2]上最大值为M,则M=max{f(0),f(2)},由此可求实数a的取值范围.
解答:(1)解:当a=1时,f(x)=(x-1)ex+1,f'(x)=xex--------------------------------------(2分)
当f'(x)<0时,x<0;当f'(x)>0时,x>0
所以函数f(x)的减区间是(-∞,0);增区间是(0,+∞)-------------------------(4分)
(2)证明:(ⅰ)g(x)=f'(x)=ex(x-a+1)+(a-1),g'(x)=ex(x-a+2)------------------(5分)
当g'(x)<0时,x<a-2;当g'(x)>0时,x>a-2
因为a>2,所以函数g(x)在(0,a-2)上递减;在(a-2,+∞)上递增-----------------(7分)
又因为g(0)=0,g(a)=ea+a-1>0,
所以在(0,+∞)上恰有一个x使得g(x)=0.--------------------------------------------------(9分)
(ⅱ)解:若a≤2,可得在x∈[0,2]时,g(x)≥0,从而f(x)在[0,2]内单调递增,而f(0)=0,
∴f(x)≥f(0)=0,不符题意.-------------------------------------------------(10分)
∴a>2
由(ⅰ)知f(x)在(0,x)递减,(x,+∞)递增,
设f(x)在[0,2]上最大值为M,则M=max{f(0),f(2)},
若对任意的x∈[0,2],恒有f(x)≤0成立,则
由f(2)≤0得(2-a)e2+2a-2+a≤0,∴
又f(0)=0,∴
点评:本题考查导数知识的运用,考查函数的单调性,考查函数的零点,考查恒成立问题,确定函数的最值是关键.
练习册系列答案
相关题目