题目内容
(8分)已知,求的值。
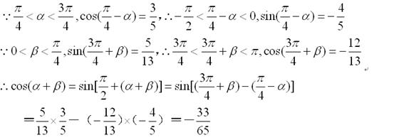
解析
已知tanθ=-, 求的值.
已知函数
(Ⅰ)求的值;
(Ⅱ)当时,求g的最大值和最小值。
(本小题满分12分)
已知数列的各项排成如图所示的三角形数阵,数阵中每一行的第一个数构成等差数列,是的前n项和,且
( I )若数阵中从第三行开始每行中的数按从左到右的顺序均构成公比为正数的等比数列,且公比相等,已知,求的值;
(Ⅱ)设,求.
(12分)(1)求值:
(2)已知,求的值
(12分)设函数,,,且以为最小正周期.
(1)求的解析式;
(2)已知,求的值.