题目内容
(本题满分15分)已知函数
(1)若函数是上的增函数,求的取值范围;
(2)证明:当时,不等式对任意恒成立;
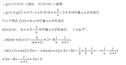
(3)证明:
答案
(本题满分15分)已知点(0,1),,直线、都是圆的切线(点不在轴上).(Ⅰ)求过点且焦点在轴上的抛物线的标准方程;(Ⅱ)过点(1,0)作直线与(Ⅰ)中的抛物线相交于两点,问是否存在定点使为常数?若存在,求出点的坐标及常数;若不存在,请说明理由
(本题满分15分)
已知命题p:,命题q:. 若“p且q”为真命题,求实数m的取值范围.
(本题满分15分)已知函数.
(Ⅰ)若为定义域上的单调函数,求实数m的取值范围;
(Ⅱ)当时,求函数的最大值;
(Ⅲ)当,且时,证明:.
(本题满分15分)已知圆N:和抛物线C:,圆的切线与抛物线C交于不同的两点A,B,
(1)当直线的斜率为1时,求线段AB的长;
(2)设点M和点N关于直线对称,问是否存在直线使得?若存在,求出直线的方程;若不存在,请说明理由.
(本题满分15分)已知直线,曲线
(1)若且直线与曲线恰有三个公共点时,求实数的取值;
(2)若,直线与曲线M的交点依次为A,B,C,D四点,求|AB+|CD|的取值范围。[来源:Z+xx+k.Com]