题目内容
已知
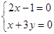
满足
,则直线
必过定点( )
A. (
,
)
B. (
,
)
C. (
,
)
D. (
,
)
【答案】
C
【解析】
试题分析:由
得
,代入直线方程得
对任意
恒成立,故有
,解得
,即直线必过定点
.
考点:直线方程
练习册系列答案
相关题目
题目内容
已知
满足
,则直线
必过定点( )
A. (
,
)
B. (
,
)
C. (
,
)
D. (
,
)
C
【解析】
试题分析:由
得
,代入直线方程得
对任意
恒成立,故有
,解得
,即直线必过定点
.
考点:直线方程