题目内容
设,
(1)若的图像关于对称,且,求的解析式;
(2)对于(1)中的,讨论与的图像的交点个数.
已知二次函数的导函数的图像与直线平行,且在处取得极小值.设.
(1)若曲线上的点到点的距离的最小值为,求的值;
(2)如何取值时,函数存在零点,并求出零点.
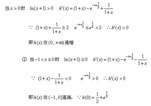
设函数.
(1)若函数图像上的点到直线距离的最小值为,求的值;
(2)关于的不等式的解集中的整数恰有3个,求实数的取值范围;
(3)对于函数定义域上的任意实数,若存在常数,使得和都成立,则称直线为函数的
“分界线”.设,试探究是否存在“分界线”?若存在,求出“分界线”的方程,若不存在,请说明理由.
函数f(x)在[a,b]上有定义,若对任意x1,x2∈[a,b],有则称f(x)在[a,b]上具有性质P.设f(x)在[1,3]上具有性质P,现给出如下命题:
①f(x)在[1,3]上的图像是连续不断的;
②f(x)在[1,]上具有性质P;
③若f(x)在x=2处取得最大值1,则f(x)=1,x∈[1,3];
④对任意x1,x2,x3,x4∈[1,3],有
其中真命题的序号是
A、①② B.①③ C.②④ D.③④
(本小题满分14分)已知向量,,其中设函数.
(1)若的最小正周期为,求函数的单调递减区间;
(2)若函数图像的一条对称轴为,求的值。