题目内容
已知数列的前n项和为Sn,且满足
.
(1)求数列{an}的通项公式;
(2)若bn=log2an,
,且数列{cn}的前n项和为Tn,求Tn的取值范围.
(1)求数列{an}的通项公式;
(2)若bn=log2an,
解:(1)当n=1时,
,解得
=2
当n≥2时,
…①
…②
②﹣①得
即an=2an﹣1
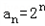
∴数列{an}是以2为首项,2为公比的等比数列
∴
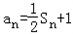
(2)

=
∵n∈N*
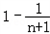
∴
∴
当n≥2时,
②﹣①得
即an=2an﹣1
∴数列{an}是以2为首项,2为公比的等比数列
∴
(2)
∵n∈N*
∴
∴
练习册系列答案
相关题目