题目内容
用一个平面截一个长方体,截出的截面是一个三角形,则这个三角形的形状是( )A.锐角三角形
B.直角三角形
C.钝角三角形
D.不能确定
【答案】分析:由于截出的截面是一个三角形,用余弦定理判断截面各角的大小,可判断这个三角形的形状.
解答:解:如图,在图中的长方体,
如一个平面α截此正方体,截面是三角形ABC,
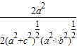
设OA=a,OB=b,OC=c,AC2=a2+c2,AB2=a2+b2,BC2=b2+c2,
∴cos∠CAB=
>0,
∴∠CAB为锐角,
同理∠ACB与∠ABC也为锐角,
所以△ABC为锐角三角形,
故选A.
点评:本题考查了正方体的几何特征,熟练掌握正方体模型中包含的线面长度及位置关系是解答的关键.
解答:解:如图,在图中的长方体,
设OA=a,OB=b,OC=c,AC2=a2+c2,AB2=a2+b2,BC2=b2+c2,
∴cos∠CAB=
∴∠CAB为锐角,
同理∠ACB与∠ABC也为锐角,
所以△ABC为锐角三角形,
故选A.
点评:本题考查了正方体的几何特征,熟练掌握正方体模型中包含的线面长度及位置关系是解答的关键.
练习册系列答案
相关题目