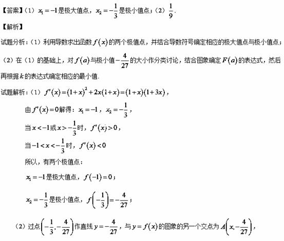
题目内容
已知函数
,
.
(1)求
的极值点;
(2)对任意的
,记
在
上的最小值为
,求
的最小值.
练习册系列答案
相关题目
根据空气质量指数
(为整数)的不同,可将空气质量分级如下表:
|
|
|
|
|
|
|
|
| 空气质量级别 | 一级 | 二级 | 三级 | 四级 | 五级 | 六级 |
| 空气质量类别 | 优 | 良 | 轻度污染 | 中度污染 | 重度污染 | 严重污染 |
| 空气质量类别颜色 | 绿色 | 黄色 | 橙色 | 红色 | 紫色 | 褐红色 |
某市
年
月
日—
月
日,对空气质量指数
进行监测,获得数据后得到如图(4)的条形图
(1)估计该城市本月(按
天计)空气质量类别为中度污染的概率;
(2)在空气质量类别颜色为紫色和褐红色的数据中任取
个,求至少有一个数据反映的空气质量类别颜色为褐红色的概率.
![]()