题目内容
已知△ABC的内角A、B、C所对边的长分别为a、b、c,若
.
(1)求△ABC的面积大小及tanB的值;
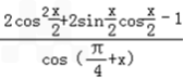
(2)若函数
,求f(B)的值.
(1)求△ABC的面积大小及tanB的值;
(2)若函数
解:(1)∵ac=5,
·
=
,
∴
·
=accosB=5cosB=
,即cosB=
,
又B为三角形的内角,
∴sinB=
=
,
∴tanB=2,
∴S=
acsinB=
;
(2)∵f(x)=
=
=
,
∴f(B)=
,
∵tanB=2,
∴f(B)=
=﹣3
.
∴
又B为三角形的内角,
∴sinB=
∴tanB=2,
∴S=
(2)∵f(x)=
∴f(B)=
∵tanB=2,
∴f(B)=
练习册系列答案
相关题目