题目内容

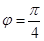
已知函数(其中),其部分图象如图所示,则的值为(    )

A.             B.

C.             D.

 

【答案】

A

【解析】

试题分析:观察函数的图象知,

,将点(1,1)代入得,

,所以,,故选A.

考点:函数的图象和性质

 

练习册系列答案
相关题目

违法和不良信息举报电话:027-86699610 举报邮箱:58377363@163.com

精英家教网