题目内容
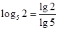
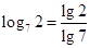
设
,
,
,则( )
A. c>b>a B.b>c>a C.a>c>b D. a>b>c
【答案】
D
【解析】
试题分析:
,
,
,又
,
,
,
,所以
,所以
.
考点:对数与对数运算
练习册系列答案
相关题目
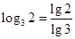
题目内容
设
,
,
,则( )
A. c>b>a B.b>c>a C.a>c>b D. a>b>c
D
【解析】
试题分析:
,
,
,又
,
,
,
,所以
,所以
.
考点:对数与对数运算