题目内容
已知定义在实数集R上的奇函数f(x)有最小正周期2,且当x∈(0,1)时,(Ⅰ)求函数f(x)在(-1,1)上的解析式;
(Ⅱ)判断f(x)在(0,1)上的单调性;
(Ⅲ)当λ取何值时,方程f(x)=λ在(-1,1)上有实数解?
【答案】分析:(I)由f(x)是x∈R上的奇函数,得f(0)=0.再由最小正周期为2,得到(1)和f(-1)的值.然后求(-1,0)上的解析式,通过在(-1,0)上取变量,转化到(0,1)上,应用其解析式求解.
(II)用定义,先任取两个变量,且界定大小,再作差变形看符号.
(III)根据题意,求得f(x)在(-1,1)上的值域即可.
解答:(Ⅰ)解:∵f(x)是x∈R上的奇函数,∴f(0)=0.---------(1分)
设x∈(-1,0),则-x∈(0,1),
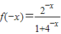
=
=-f(x)
∴
---------(2分)
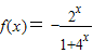
∴
---------(3分)
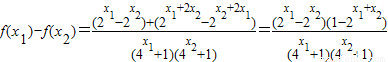
(Ⅱ)证明:设0<x1<x2<1,
则
,------(4分)
∵0<x1<x2<1,
∴
,
,---------(5分)
∴f(x1)-f(x2)>0
∴f(x)在(0,1)上为减函数.---------(6分)
(Ⅲ)解:∵f(x)在(0,1)上为减函数,
∴f(1)<f(x)<f(0)即
---------(7分)
同理,f(x)在(-1,0)上时,f(x)
---------(8分)
又f(0)=0
当
或
或λ=0时方程f(x)=λ在(-1,1)上有实数解.-----------------(10分)
点评:本题主要考查如何利用求对称区间上的解析式,特别注意端点问题,还考查了用定义证明单调性求分段函数值域问题.
(II)用定义,先任取两个变量,且界定大小,再作差变形看符号.
(III)根据题意,求得f(x)在(-1,1)上的值域即可.
解答:(Ⅰ)解:∵f(x)是x∈R上的奇函数,∴f(0)=0.---------(1分)
设x∈(-1,0),则-x∈(0,1),
∴
∴
(Ⅱ)证明:设0<x1<x2<1,
则
∵0<x1<x2<1,
∴
∴f(x1)-f(x2)>0
∴f(x)在(0,1)上为减函数.---------(6分)
(Ⅲ)解:∵f(x)在(0,1)上为减函数,
∴f(1)<f(x)<f(0)即
同理,f(x)在(-1,0)上时,f(x)
又f(0)=0
当
点评:本题主要考查如何利用求对称区间上的解析式,特别注意端点问题,还考查了用定义证明单调性求分段函数值域问题.
练习册系列答案
相关题目