题目内容
设△ABC的内角A、B、C的对边长分别为a、b、c,cos(A-C)+cosB=
,b2=ac,求B。
解:由cos(A-C)+cosB=
,及B=π-(A+C),
得cos(A-C)-cos(A+C)=
,
cosAcosC+sinAsinC-(cosAcosC-sinAsinC)=
,
sinAsinC=
,
又由b2=ac及正弦定理得sin2B=sinAsinC,
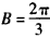
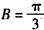
故
或
(舍去),
于是
或
,
又由b2=ac知b≤a或b≤c,所以
。
得cos(A-C)-cos(A+C)=
cosAcosC+sinAsinC-(cosAcosC-sinAsinC)=
sinAsinC=
又由b2=ac及正弦定理得sin2B=sinAsinC,
故
于是
又由b2=ac知b≤a或b≤c,所以
练习册系列答案
相关题目