题目内容
已知点列An(xn,0)满足:
=a-1,其中n∈N,又已知x0=-1,x1=1,a>1。
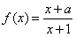
(1)若xn=f(xn+1)(n∈N*),求f(x)的表达式;
(2)已知点B(
,0),记an=|BAn|(n∈N*),且an+1<an成立,试求a的取值范围;
(3)设(2)中的数列{an}的前n项和为Sn,试求:
。
(1)若xn=f(xn+1)(n∈N*),求f(x)的表达式;
(2)已知点B(
(3)设(2)中的数列{an}的前n项和为Sn,试求:
解:(1)∵
,
∴
,
∴
,
∴
,
∴
。
(2)∵
,
∴
,
∵
,
∴要使
成立,只要
,即
,
∴
为所求.
(3)∵
,
∴
,
∴
,
∵
,
∴
,∴
,
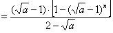
∴
。
∴
∴
∴
∴
(2)∵
∴
∵
∴要使
∴
(3)∵
∴
∴
∵
∴
∴
练习册系列答案
相关题目