题目内容
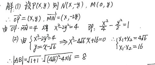
如图,平面直角坐标系中,动点P(,),PM⊥轴,垂足为M,点N与点P关于轴对称,且,
(1)求动点P的轨迹方程;
(2)若直线=与上述曲线交于A,B两点,求|AB|.
棱长为4的正方体被一平面截成两个几何体,其中一个几何体的三视图如图所示,那么该几何体的体积是 .
设奇函数在上为增函数,且,则不等式解集为
( )
A. B.
C. D.
双曲线焦点在轴上,且=9,=3,则它的标准方程是( )
A. B.
已知=(1-, 1-,),=(2,,),则||的最小值是___________.
若复数 ,则 =
A.9+i B.9- i C.2+i D.2-i
若曲线 与曲线 存在公共切线,则a的取值范围为
A. B. C. D.
在长方体中,AB=BC=2,,则与平面所成角的正弦值为 ( )
A. B. C. D.
一个几何体的三视图如右图所示,该几何体的体积是( )
(A) (B)(C) (D)